In 1817, English doctor James Parkinson published an essay describing the characteristic resting tremor, abnormal posture and gait, paralysi...
People concerned about cardiovascular health must be familiar with the terms such as "atherosclerosis" or "coronary heart dis...
Aberrant alternative splicing facilitates cancer development and progression through both creating oncogenic isoforms and reducing normal is...
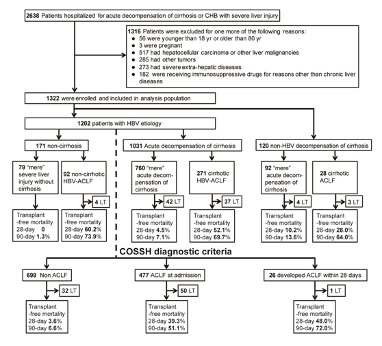
Acute on chronic liver failure (ACLF) is a complex syndrome described as the acute deterioration in liver function in patients with pre-exis...
A nanoparticles based theranotic drug delivery system developed by researchers, Prof. Min Zhou and his collaborators, at Zhejiang Unive...
Hyperactivation of Wnt/β-catenin signaling is one of the major causes of human colorectal cancer (CRC). A hallmark of Wnt signaling is the ...
On July 27, 2017, Prof. Xuetao Cao (Zhejiang University School of Medicine, Peking Union Medical College, Chinese Academy of Medical Science...
Polymyxin antibiotics are used as last-resort therapies to treat infections caused by multidrug-resistant Gram-negative bacteria. The plasmi...
Astrocytes, the most abundant cell type in the brain, have important roles in the central nervous system. In general, astrocyte respond...
Prof. Yu-Dong Zhou, a principal investigator in the Institute of Neuroscience, and his colleagues demonstrate a developmental role of astroc...
Prof. Xing Zhang, director of the center of cryo electron microscopy, and his group revealed the ...
MTOR (mechanistic target of rapamycin) plays a crucial role in many major cellular processes and a growing number of proliferative and metab...